石英晶振單元頻率標準介紹
來源:http://m.mxsir.cn 作者:康華爾電子 2019年03月19
目前的晶振逐漸的往小型化,片式化,低噪聲化,頻率精度高化與穩定度高及頻化高等方面發展,為滿足市場上一切對晶振產品的要求,是移動電話和天線尋呼機為代表的便攜式產品對石英晶體振蕩器提出的要求,事實上石英晶體振蕩器在發展過程中,也面臨像頻率發生器這類電路的潛在威脅和挑戰.此類振蕩器只有在技術上不斷創新,才能延長其壽命周期,在競爭中占有優勢.下面將帶領大家對石英晶振有進一步的了解.
石英晶體單元是已經施加電極的石英晶片,并且其被密封在支架結構中.(晶圓通常被稱為"空白"或"晶體板".)雖然晶體單元的設計和制造包含復雜的主題,但振蕩器設計者可以將晶體單元視為電路元件并且只需處理晶體單元的等效電路.
石英晶體單元是已經施加電極的石英晶片,并且其被密封在支架結構中.(晶圓通常被稱為"空白"或"晶體板".)雖然晶體單元的設計和制造包含復雜的主題,但振蕩器設計者可以將晶體單元視為電路元件并且只需處理晶體單元的等效電路.
機械振動系統和圖2所示的電路是"等效的",因為每個都可以用相同的微分方程[6]來描述.質量,彈簧和阻尼元件(即緩沖器)對應于電感器,電容器和電阻器.驅動力對應于電壓,質量對電容器上的電荷的位移以及對電流的速度.

圖1.機械振動系統的等效電路.
石英晶振是一種機械振動系統,通過壓電效應與電氣世界相連.圖3示出了諧振器的(簡化的)等效電路(一種振動模式),以及晶體單元的電路符號.負載電容器CL與晶體串聯示出.C0,稱為"分流"電容,是由于晶體板上的電極加上由于晶體外殼引起的雜散電容引起的電容.電路的R1,L1,C1部分是"運動臂",它由晶體的機械振動產生.
圖2.帶負載電容的晶體單元的等效電路.
C0至C1比率是存儲在石英晶體中的電能和機械能之間的相互轉換的量度,即壓電耦合因子k的量值.C0/C1隨著泛音數的平方增加;C0/C1與k和N的關系為2C0/C1=[pN2/2k],其中N是泛音數.當直流電壓施加到諧振器的電極時,電容比C0/C1還可以測量由電極形成的電容器中存儲的電能與由壓電效應產生的晶格應變引起的在晶體中彈性存儲的能量之比.圖4顯示了晶體單元的電抗與頻率特性.C0/C1也與反共振諧振頻率分離(即極柱間距)成反比,這是貼片濾波器應用中特別重要的參數.電抗對鄰近F頻率曲線的斜率小號成反比到C1,即,DX/(DF/F)»1/PFC1附近?F小號,其中X是電抗.C1因此,它是衡量晶體"剛度"的一種方法,即它的可調性.
圖3.晶體單元的電抗與頻率的關系.
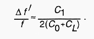
當負載電容與晶體串聯時,石英晶體振蕩器的工作頻率增加Df',其中Df'由下式給出:
.png)
當電感器與晶體串聯連接時,操作頻率降低.通過增加或改變電抗來改變工作頻率的能力允許補償TCXO晶振中晶體單元的頻率與溫度變化,并調節電壓控制晶體振蕩器(VCXO)的輸出頻率;在兩者中,通過改變變容二極管上的電壓來改變頻率.
對于圖2的簡單RLC電路,諧振曲線的寬度與品質因數Q成反比,但在晶體振蕩器中,由于存在C0并且操作Q較低,因此情況復雜化對于石英諧振器,Q=(2pfSC1R1)1.參考文獻3,5和6包含等效電路的更多細節.
石英晶振在由分立的R,C和L'構建的儲能電路上的眾多優點中,有一些優點是晶體更硬,并且具有遠高于普通分立元件的Q值.例如,5MHz基模ATcut晶體可具有C1=0.01pF,L1=0.1H,R1=5W和Q=106.沒有0.01pF的電容器,因為連接到這種電容器的引線可能單獨產生超過0.01pF的電容.類似地,0.1H電感器在物理上很大,它需要包括大量匝數,并且需要是超導的以便具有5W的電阻
正在載入評論數據...
相關資訊
- [2020-05-11]Mmdcomp晶振質量管理體系承諾書...
- [2019-12-31]Micro Crystal智能產品應用方案...
- [2019-07-24]CTS Oscillator網絡電信與同步的...
- [2019-03-20]有關NDK石英晶體諧振器的包裝方...
- [2019-03-19]石英晶振單元頻率標準介紹
- [2018-11-22]西鐵城石英晶體振蕩器原廠編碼
- [2018-11-21]NDK晶振原廠編碼查詢
- [2018-11-16]TXC晶振編碼查詢






業務經理